RF - Conversões, Tabelas e Cálculos
Ótimo site com várias ferramentas para Wireless.
Link: http://datastreamcowboys.net/calc.php?c=fsl&lang=pt
Wireless Calculadoras:
Calculadora livre de perda do espaço
conversor do mW e do dbm
Calculadora da zona de Fresnel
Calculadora de potência de Tx
Margem do sistema
Calculadora de ERP
Calculadora de escala
Calculadora de antena
Padrões 802.11
Projetos de antenas:
Antena direcional de Yagi
Antena direcional Colinear de Omnii
antena direcional Colinear de 5dbi Omnii
Antena direcional helicoidal
Antena direcional do Quad do Bi
Re: RF - Conversões, Tabelas e Cálculos
Bom dia amigão, muito interessante o site, to fazendo uns testes pra ver como ele funciona, mais não consegui entender o seguinte calculo:
Free Space Loss Calculator
frequency: 5180 distance 14km Result: 129631dB
Não entendi bem o Result ??? Caso você entenda e possa me explicar, eu agradeço.
Abraço...
2 Anexo(s)
Re: RF - Conversões, Tabelas e Cálculos
O resultado final é, apenas, uma aproximação e não deve ser usado em projetos reais;
Nenhuma garantia, explícita ou implícita, é oferecida quanto aos resultados fornecidos, apesar de os cálculos serem feitos com o uso das fórmulas corretas.
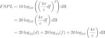
Cálculo de perda de espaço livre (FSPL)
Sinais eletromagnéticos sendo transportados pelo ar também sofrem atenuação. Essa atenuação é chamada de free-space path loss ou, de maneira simplificada, FSPL e pode ser calculada pela fórmula:
Anexo 37886
Se a frequência f for dada em MHz e a distância d em Km, então:
Anexo 37887