+ Responder ao Tópico



  1. #1

    Padrão Definir rotas default no OSPF Mikrotik.

    Ola pessoal estou com dificuldades em definir rotas default no OSPF com o mikrotik.
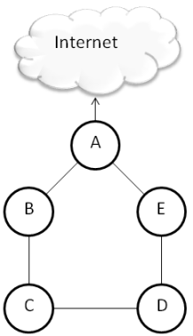
    No exemplo abaixo tempos 5 roteadores A-B-C-D-E.
    Preciso que o roteador "C" faça a seguinte roda C -> D -> E -> A, e somente em caso de problema com essa rota ele utiliza a rota C -> B -> A para acessar a internet.
    Alguém tem ideia de como configurar isso no Mikrotik?
    Já tentei aumentar o custo da roda para não sair pela mais curta mas não tive sucesso, e já tem uns 1 meses que venho fazendo laboratórios que acho na internet mas nenhum deu sucesso ate agora.



    Por favor pessoal me de uma foça aqui?
    Clique na imagem para uma versão maior

Nome:	         OSPF.png
Visualizações:	549
Tamanho: 	21,9 KB
ID:      	40579

  2. #2

    Padrão Re: Definir rotas default no OSPF MikroTik RouterOS

    Citação Postado originalmente por marcondesjr Ver Post
    Ola pessoal estou com dificuldades em definir rotas default no OSPF com o mikrotik.
    No exemplo abaixo tempos 5 roteadores A-B-C-D-E.
    Preciso que o roteador "C" faça a seguinte roda C -> D -> E -> A, e somente em caso de problema com essa rota ele utiliza a rota C -> B -> A para acessar a internet.
    Alguém tem ideia de como configurar isso no Mikrotik?
    Já tentei aumentar o custo da roda para não sair pela mais curta mas não tive sucesso, e já tem uns 1 meses que venho fazendo laboratórios que acho na internet mas nenhum deu sucesso ate agora.



    Por favor pessoal me de uma foça aqui?
    Clique na imagem para uma versão maior

Nome:	         OSPF.png
Visualizações:	549
Tamanho: 	21,9 KB
ID:      	40579
    Boa tarde.

    Aumente o custo, na interface entre C e B, no roteador C.

    Aumente o custo, na interface entre A e B, no roteador A.

    Com isso, será "mais custoso" andar entre CBA, dando preferência então a CDEA

    Atente para os custos, de forma a não influenciar nas decisões de roteamento de B.

    Ao cair o circuito DE, por exemplo, será assumido CBA.

    Espero ter ajudado. Mantenha-nos informado sobre seu progresso.

    Saudações,

    Trober

  3. #3

    Padrão Re: Definir rotas default no OSPF Mikrotik.

    Acabei de fazer alteração. Ate no momento esta funcionando certinho. Vou deixa em teste esse final de semana e na segundo falo como foi.

  4. #4

    Padrão Re: Definir rotas default no OSPF MikroTik RouterOS

    Citação Postado originalmente por marcondesjr Ver Post
    Acabei de fazer alteração. Ate no momento esta funcionando certinho. Vou deixa em teste esse final de semana e na segundo falo como foi.
    Fico feliz com a notícia

    Compartilhe com os demais colegas os valores inseridos de custo nas interfaces dos roteadores A e C. Também diga-nos como está a preferência de saída de B até A, se é BA ou BCDEA.

    Saudações,

    Trober

  5. #5
    tecnico chefe Avatar de naldo864
    Ingresso
    May 2010
    Localização
    Carapicuíba, Brazil, Brazil
    Posts
    3.131
    Posts de Blog
    1

    Padrão Re: Definir rotas default no OSPF Mikrotik.

    para distribuir a rota defaul no mikrotik e so ir no roteador que esta o link de internet e em ospf ,instances ligar o redistribueted default route ,e so isso ,agora o calculo de rotas da rede e isso ai mesmo que o trober falou aumentar os custos para o ospf seguir as rotas que voce quer .

  6. #6

    Padrão Re: Definir rotas default no OSPF MikroTik RouterOS

    Citação Postado originalmente por trober Ver Post
    Fico feliz com a notícia

    Compartilhe com os demais colegas os valores inseridos de custo nas interfaces dos roteadores A e C. Também diga-nos como está a preferência de saída de B até A, se é BA ou BCDEA.

    Saudações,

    Trober

    Bom dia, desculpe pela demora. Mas queria ter certeza que a configuração deu certo. O exemplo que fiz é A ate D mas para ter uma visão melhor coloquei como esta minha realidade.
    No diagrama abaixo eu precisava coloca o roteador (J) passando por IHGFEDCBA.
    Então ficou assim, A ate J ficou o valor padrão. E a outra Rota ficou assim:
    A -> O = 40
    O -> N = 40
    N -> M = 10
    M -> L = 10
    L -> J = 15

    Clique na imagem para uma versão maior

Nome:	         rede.png
Visualizações:	371
Tamanho: 	31,5 KB
ID:      	40761

  7. #7

    Padrão Re: Definir rotas default no OSPF Mikrotik.

    Amigos, tenho uma dúvida semelhante, agora só preciso saber como aumentar os custos da rota para o roteador?

    abs

  8. #8

    Padrão Re: Definir rotas default no OSPF MikroTik

    Citação Postado originalmente por Andersonlopes Ver Post
    Amigos, tenho uma dúvida semelhante, agora só preciso saber como aumentar os custos da rota para o roteador?
    Olá Anderson.

    Para modificar o custo, execute o comando abaixo, considerando para X o identificador da interface, e Y para o custo.

    Código :
    /routing ospf interface set X cost=Y

    Saudações,

    Trober

  9. #9

    Padrão Re: Definir rotas default no OSPF Mikrotik.

    Amigo desde já obrigado, mas é o seguinte é não consigo alterar os valores pois minhas interfaces são criadas automaticamentes, quando crio o ospf..

  10. #10

    Padrão Re: Definir rotas default no OSPF MikroTik

    Citação Postado originalmente por Andersonlopes Ver Post
    Amigo desde já obrigado, mas é o seguinte é não consigo alterar os valores pois minhas interfaces são criadas automaticamentes, quando crio o ospf..
    Olá Anderson.

    Esse é um dos motivos de não deixar que as interfaces sejam dinamicamente criadas

    Informei alguns procedimentos em resposta[1] a um outro post[2] seu.

    [1] https://under-linux.org/showthread.p...770#post666770
    [2] https://under-linux.org/showthread.p...715#post666715

    Saudações,

    Trober

  11. #11

    Padrão Re: Definir rotas default no OSPF MikroTik

    Boa Noite Trober, gostaria de saber se presta serviço para provedores teria como me adicionar no skype, valeu!!!

    Skype: [email protected]

  12. #12

    Padrão Re: Definir rotas default no OSPF Mikrotik.

    olá galera minha rede era 100% brigde agora esta 50% brigde e 50% roteada OSPF, tenho uma duvida! por questões técnicas tive que fazer dois pontos de distribuição, tenho 2 balance e dois concentradores na mesma rede porem individuais cada cliente pro seu concentrador, fiz umas regras que funciona da seguinte forma, se um balance parar vira todo mundo pro outro lado isso em brigde. Agora como faço pra que funcione os dois concentradores na minha rede sem um atrapalhar o outro distribuindo rotas, e se um parar todo mundo navega pelo outro? seria possível?

  13. #13

    Padrão Re: Definir rotas default no OSPF Mikrotik.

    é possível criar um script pra alterar o valor do custo da rota tipo mudar de do padrão 10 pra 20 pra ele sair por um lado caso caia um link?