
 Postado originalmente por 
rubem
					 
				 
				Tem como, é só isolar com diodo.
Como o consumo é alto precisa diodo grande, esse aqui é um exemplo:
http://produto.mercadolivre.com.br/M...0-ou-95pf8-_JM
95A em 12V dá 12*95 = 1140W, digamos então que o PICO de corrente deve ser esse, evite usar mais de uns 500W de consumo.
Mas esse diodo vai aquecer mesmo se o consumo for de 20W, tem que colocar ele num dissipador de calor, mais ou menos assim:
http://www.reuk.co.uk/OtherImages/1n...king-diode.jpg
ou
http://www.bakersfieldads.net/Bakers...-heat-sink.jpg
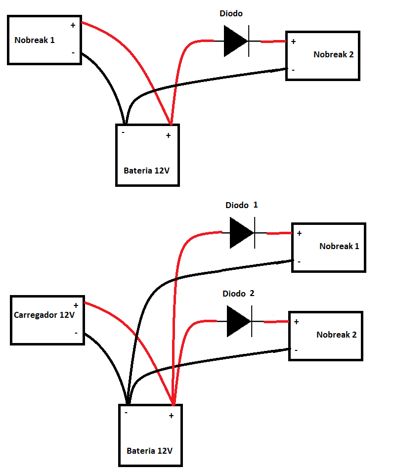
A ligação ficaria assim, na imagem de cima é como liga SE o nobreak dá conta de carregar a bateria, na de baixo é se precisa carregador separado:
 
170Ah é muita coisa pra maioria dos nobreaks carregarem, provavelmente você vai precisar um carregador-flutuador mantendo essa bateria, e os 2 nobreaks isolados via diodo. Carregador de uns 15 ou 20A, tem os baratos com transformador, que em flutuação desperdiçam energia (Mas são baratos), tipo:
http://produto.mercadolivre.com.br/M...carro-moto-_JM
ou
http://produto.mercadolivre.com.br/M...g-lent-led-_JM
E tem carregadores com chaveamento, desperdício de eletricidade mínimo, mas são mais caros:
http://networksul.com/products.php?p...28flutuador%29